解析:2020年山东新高考,赋分制所有情况全盘点!
发布时间:2019-03-27 12:00:54
一、是全省排名决定了你被放进哪个赋分区间
请记住我们今天的主角——小红同学!
小红选了化学、生物、政治三科,以白求恩为目标,梦想当一名救死扶伤的伟大医生。
2020高考之后,小红发挥还不错,化学卷面考取了77分,实际卷面77分就是原始分,非不是最终分(赋值分)。
2020年高考后,山东考试院很确切的统计了全省共有101040名考生选了化学,把所有选了化学的人,由原始分由高到低排名。小红的原始分恰好排在第6470名。
用小红的排名(6470名)除以全省所有选化学的人数(101040人),得6.4%。
我们也可以说,小红的化学成绩排在全省第6.4%名。
接下来就该查表了,这张表是我做的,请大家收藏,小小一张表包含了山东新高考赋分制的所有规则。

我们可以看到,小红是第6.4%名,正好落到第3%——10%名考生这个范围,所对应的等级就是B+,赋值区间是90-81分。
也就是说,排名确定了,等级也就确定了,赋值区间也就确定了。反过来讲,等级和赋值区间都是根据排名作为唯一依据而确定的。
虽然小红只考了77分,但排名靠前,是第6.4%名,所以排在我们表格中的第二行,B+等级,最终分肯定跑不出90—81分这个范围。
记住:是化学原始成绩的全省排名决定了你落在哪个赋分区间!
卷面成绩的高低在一环节意义不大。关键是看你的排名!
二、原始分的比例决定了最终分的位置系数
小红的最终分,跑不出90——81这个区间,那怎么确定最终分呢?
这就要看和小红一起落入第3%——10%这个范围考生的最高原始分与最低原始分。
2020年高考后,全省选了化学的落在3%——10%内,最高是79分,最低的是70分,则小红的77分离最低分的比例是:(77-70)/(79-70),而这一比例系数,就是小红在90——81这一赋分区间的位置系数!
记住:原始分的比例决定了最终分在赋值区间的位置!
所以,我们得到小红的换算方法。
得到以下公式:

所以,我们小红同学最终高考化学的得分是:88分!这一道送分题。
三、总结!
以上小红的案例是不是看的很过瘾?
来总结一下规律,大家就可以完全学会了。
选了某一科。
第一步,原始分不重要,关键看看原始分的全省排名落在哪个赋值区间,确定赋值区间。
第二步,看所有落到该赋值区间的原始最高分和原始最低分,确定原始分比例,也就是你的位置系数。
第三步,用以下万能公式:

最后为什么是9呢?不应该是赋值区间的范围差值吗?
对啊!能想到这点,就说明你理解了,但你有没有发现,山东新高考每一个赋值范围差都是9啊。所以9是没错的。记好这个万能公式,我们来做一个经典的练习。
四、用万能公式解决经典的小明案例
经典案例是这样的:
假设小明考了61分,小明成绩所在原始成绩区间的最高分为69分,最低分为58分,转换分数区间为61到70分,那么小明转换后的成绩为63分。
其实,这个案例误导性太大!误导了几乎全部的山东家长。
我一说您就明白了,不是因为小明考了61分而落在转换区间(61—70),而是因为小明该科的全省排名,恰好落在了第26%——50%名之内,经查表,被评定为C+等级,赋值区间才确定为70——61。
这点明确了,我们再看位置系数是:(61-58)/(69-58)
所以用我的万能公式:

得到同样的结果,我的方程实际上就是赋分制的基本原理,只是小明这一案例经典的误导了大家,让大家误入歧途而无法自拔。

再划一下重点:
1、原始分不重要,看原始分的全省排名,查表确定你落在了哪个赋值区间。
2、原始分的比例,决定最终分的位置系数。
3、套用万能公式,轻松转换分数。
4、记住小红同学,忘记小明同学!
这是赋分制的第二讲,有助于大家更好的理解新高考。
今天我们来讲:赋分制的几种特殊情况。
一、越赋越少的情况
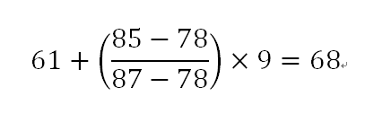
还是以想当医生的小红同学为例。在2020高考之后,小红的政治考了85分,本以为是个高分,没想到排在全省所有选政治人数的第29.324%名。
查一下表,

我们发现,在政治这一门课上,小红正好落在第26%——50%名范围内,被评定为C+等级,赋分区间也就确定为70——61分。这时候你一定意识到了,小红的最终分肯定就跑不出这个范围了。
假设,同时落在第26%——50%名范围内最高原始分为87分,最低原始分为78分,则小红的位置系数为:(85-78)/(87-78)。
所以,套用我们的万能公式求解小红的最终分:

本来卷面是85分,最终高考分却是68分,这说明什么?
这说明政治题出的过于简单了,大多数人得分都不低。
也印证了前面的结论:卷面分的绝对高低不重要,相对高低(排名)才重要!
题出简单的情况下,不利于学霸,因为卷面上的每一分都不太“值钱”,学霸会更容易被中游数量居多的考生所追上,而学霸多集中在90分左右,相对于60分左右的情况实在太难拔高,而这种在学霸中区分度极小的情况却被赋分制人为的放大,这无疑加剧了学霸们发挥失常的几率与损失。
二、越赋越多的情况
一个道理,可以参阅小红化学成绩的求解方法,这个不再赘述。
该例子在这个文章里:小红化学成绩的计算案例。
如果最终分比卷面分高,这说明题出难了,这种情况不利于学渣,因为明知道卷面上的每一分都很“值钱”,却得不到分。
而对于学霸来说,容易得分就容易排在大多数人前面,本来就领先,再用赋分制换算成更大的区分度。题目越难,学霸遥遥领先的可能性就大。
不知道大家注意到没有,即使一个学渣卷面考0分,经赋分,最终变成了21分。所以,留给学霸尽情驰骋的空间是21——100分,而不是0——100分,赛道变短了。
综合以上题易和题难的情况,于是就有了不少家长知道的那句话:新高考是牛娃的大坑。稍有不慎,就会满盘皆输。
三、分数正好是所在赋分区间的最高(低)原始分
2020年高考,小红的生物原始分是61分,正好落在60-51赋分区间。而所有落在该赋值区间的同学,最高原始分是61分,最低原始分是49分,小红恰恰是那个最高原始分。
这就不用任何公式了,直接取区间上端点60分,就是小红的最终分。
同样,小明的生物成绩也落该区间,而小明就是那个最低原始分——49分。这样也不用万能公式了,直接取下端点51分,就是小明的最终分。
明白了吗?如果你是某一赋分区间里原始分的端点,那你的最终分一定是该区间的端点。无论上端点,还是下端点。
好了,三种较为特殊情况你都懂了吗?接下来,会从正态分布的概率论原理上讲一下不知道全省排名怎么估算赋值,什么样的高中适合赋值法,或许还会以浙江新高考为反例,讲一下为什么山东新高考是较为公平的,这都是群里提及的问题。
最重要的,想教大家一个“利益”最大化的3+3选科方式,敬请期待吧。